Imovinski kartoni i ugovori otkrivaju nepotističku mrežu zapošljavanja u Nikšiću
Vladajuće partije koriste lokalne i državne institucije i kompanije kao neiscrpni resurs za uhljebljenje bliskih članova porodica, rođaka, partijskih kolega i njihovih bliskih ljudi... Sumnjive fakultetske diplome već kompromitovanih univerziteta iz okruženja su sve brojnije i na najodgovornijim funkcijama

Javno dostupne baze podataka državnih i lokaknih institucija najbolje svjedoče o masovnom partijskom i nepotističkom zapošljavanju tokom protekle četiri godine u Nikšiću. Vladajuća koalicija „Za budućnost Nikšića“, koju dominantno čine Nova srpska demokratija Andrije Mandića i Demokratska narodna partija Milana Kneževića, ali i njihovi koalicioni partneri poput Socijalističke narodne partije, obilato su koristili sve raspoložive javne resurse na lokalnom i državnom nivou kako bi pozapošljavali članove porodica, bliske rođake, prijatelje i partijske saborce.
Zakonske procedure često nijesu poštovane, fakultetske diplome su za pojedina radna mjesta su više nego sumnjive, ali je bilo bitno da se ljudi bliski partijskim funkcionerima vlasti pozicioniraju što bolje i uz što veće benefite. Informacije koje se mogu čuti od zaposlenih u lokalnim institucijama i državnim kompanijama se mogu sažeti kroz jednu rečenicu „Fali nam stolica za sve koje su doveli, neki su zamoljeni i da ne dolaze na posao već da samo primaju platu“.
M portal je u jučerašnjem tekstu naveo niz primjera nepotističkog i partijskog zapošljavanja u Nikšiću, a detaljnija analiza javno dostupnih baza podataka pokazuje koliko je takav način rada lokalne i državne vlasti ukorijenjen i dubok.
Juče smo kao jedan od primjera nepotističkog zapošljavanja naveli brata od ujaka Milana Kneževića, Radivoja Dada Miškovića. Kada je televizija Vijesti prošle godine emitovala dokumentarno istraživački film „Meta“ o masovnom partijskom zapošljavanju novih vlasti na svim nivoima, analiziran je i taj slučaj zapošljavanja u „Solar gradnji“. Mišković je pokušao da demantuje podatke do kojih je došla televizija Vijesti preko portala bliskih vlastima i objavio ugovore o preuzimanju između kompanije „Toščelik“ gdje je ranije radio i „Solar gradnje“. Međutim, preskočio je da saopšti da se „Toščelik“ već uveliko gasio kada je ugovor napravljen, a Mišković je u „Solar gradnji“ dobio i funkciju predsjednika sindikata ove kompanije. Čak je i njegova supruga Mirjana, kako se vidi iz Miškovićevog imovinskog kartona, u međuvremenu prešla iz zanimanja nazvanog „domaća trgovina“ prešla na radno mjesto u Domu zdravlja Nikšić, čime su joj prihodi utrostručeni.
Miškovićeva rođena sestra Marija je takođe u međuvremenu zaposlena u Opštini Nikšić, odnosno u Službi za zajedničke poslove, gdje je za kratko vrijeme napredovala od ugovora o djelu, poreko kurirskog posla do konačnog unapređenja na stalno radno mjesto samostalne referentkinje za prijem i obradu zahtjeva i davanje informacija.
Kada je riječ o kadrovima Milana Kneževića, tu se lista ne zaustavlja. Juče smo takođe objavili i da je bliska saradnica i sekretarica Milana Kneževića Tamara Ćalasan, koja je bila i na odborničkoj listi na prošlim lokalnim izborima u Nikšiću, zaposlena kao PR u nikšićkom Domu zdravlja, a njen suprug Predrag je dobio posao u „Solar gradnji“, gdje i Kneževićev brat od ujaka. Rođena sestra Predraga Ćalasana i njegov brat od ujaka takođe su dobili poslove u EPCG. Informaciju da je suprug Tamare Ćalasan zaposlen u „Solar gradnji“ potvrdila je upravo ona, navodeći to kao podatak u svom imovinskom kartonu, koji je obavezna da podnosi kao odbornica u SO Nikšić.
U jučerašnjem tekstu smo naveli i primjere zapošljavanja iz Socijalističke narodne partije, koja nije propustila da „zagrabi“ iz kvote partijskog zapošljavanja po dubini i širini.
Potpredsjednik Opštine Nikšić iz njihovih redova Zoran Tomić bi u perspektivi mogao biti predmet provjere validnosti fakultetske diplome diplomiranog menadžera. U njegovoj zvaničnoj biografiji ne piše na kom je fakultetu stekao obrazovanje, a izvori M portala tvrde da je to učinio za veoma kratko vrijeme na Univerzitetu Union Nikola Tesla, za koji je bivša poslanica i profesorica Univerziteta Crne Gore Branka Bošnjak kazala „Zavladala je epidemija lažnjaka, a ovaj Union univerzitet u beogradu je posljednjih godina upravo prepoznat po štancovanju diploma crnogorskim fiktivnim studentima, koji se prošetaju jednom ili nijednom do Beograda i vrate se sa diplomom“.
Prema svim informacijama do kojih je M portal došao, Tomiću je Senat Univerziteta Crne Gore zabranio studiranje na svim svojim fakultetskim jedinicama, jer je razotkriveno da je učestvovao u švercovanju ispita. Njegova supruga Ivana Rešetar Tomić je zaposlena u EPCG kao referent, a ujedno je i odbornica u Skupštini Opštine Danilovgrad iz redova SNP-a, vidi se iz imovinskog kartona Zorana Tomića i spiska zaposlenih u EPCG za 2024. godinu.
I Nenad Marković iz SNP-a, koji je izabran u Odbor direktora EPCG, nije propustio da iskoristi svoju funkciju: on je svoju ćerku zaposlio u kompaniji kojom rukovodi, a sina Sinišu u Komunalnoj inspekciji Opštine Nikšić, kao vozača.
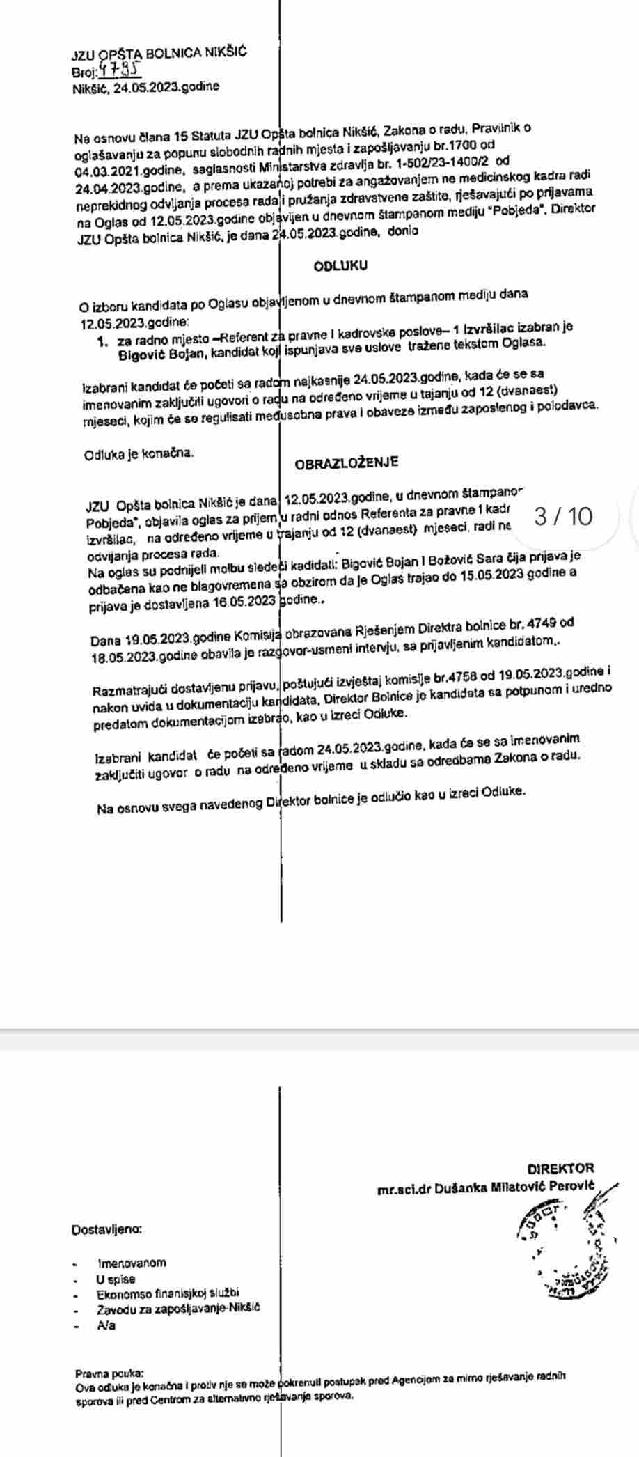
Prema informacijama do kojih je M portal došao, još jedan partijski kadar SNP-a sa sumnjivom diplomom je došao do atraktivnog radnog mjesta u sistemu državnih institucija i to zahvaljujući bivšem ministru zdravlja Dragoslavu Šćekiću.
Riječ je o Bojanu Bigoviću, sinu funkcionera SNP-a Dragana Bigovića. Naime, Bojan Bigović, prema raspoloživim informacijama M portala, posjeduje diplomu MB fakulteta za poslovne studije i slikarstvo, a zaposlen je kao pravnik u Opštoj bolnici Nikšić. On je „karijeru“ započeo kao pripravnik 2022. godine, potom kao volonter pravnik, uz saglasnost tadašnjeg ministra zdravlja Dragoslava Šćekića na određeno na 12 mjeseci, te na kraju aneksom ugovora primljen i na neodređeno.